ここからメインメニュー

  • お知らせ
  • 番組情報
  • リクエスト メッセージ
  • プレゼントに応募
  • DJ パーソナリティ紹介
  • DJ パーソナリティ
  • コンサート
  • 番組表
  • PODCAST

メインメニューここまで

サイト内共通メニューここまで

NOW ON AIR

応援部 宣言メイト! supported by カロリーメイト 22:07~22:30 

JUST LISTENING

過去の曲検索

2026/2/13 22:11/アクション!/ハンブレッダーズ

生コマ

[番組内容]

2022年1月9日

1月13日の放送は

1月13日の放送では、
1月15、16日に行われる、大学入学共通テストについてお話します。
今回は生物についてです。
2016年度 生物 本試験 第1問の問3、問4を解説します。
教学社の2022年版共通テスト過去問研究の
生物・生物基礎にも載っている問題です。
ぜひ問題も見ながら聴いてくださいね。

2022年1月6日

1月6日

今回は、
大学入学共通テストの数学について、
実際に過去の問題を使いながらお話しました。

使用した問題は令和3年度の共通テスト、
数学Ⅱ、数学Bの試験問題、
第1問、〔2〕の問題です
下記のリンクからぜひチェックしてくださいね。
また、
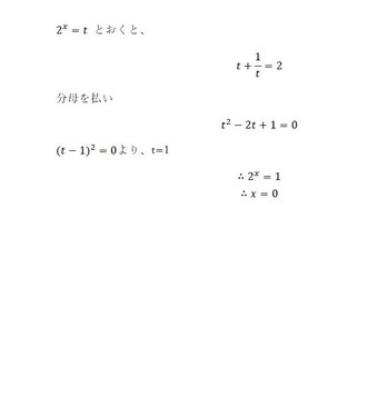
X≧0で、 2ˣ + 2⁻ˣ = 2cosx
となるXを求めなさい。
X=(     )


という問題についても解説しました。
放送で言っていた、ハカセの図解は↓になります。


2022年1月4日

1月6日の放送は

あけましておめでとうございます!

医学部受験生のみなさんの
役に立つような情報を発信していきますので、
今年もハカセ公夫の受験ホットほっとラインを
よろしくお願いいたします。


1月6日の放送は、1月15、16日に行われる、
大学入学共通テストについて取り上げます。
その中でも、数学について、
実際に過去の問題を使いながらお話します。
令和3年度の共通テスト、
数学Ⅱ、数学Bの試験問題から、
第1問、〔2〕の問題を使ってお話しますので、
下記のリンクからチェックしてくださいね。




また、
X≧0で、 2ˣ + 2⁻ˣ = 2cosx
となるXを求めなさい。
X=(     )



という問題も解説します。
ぜひこれらの問題を見ながら
放送を聴いてくださいね。


2021年12月30日

12月30日

今回は、私立医学部の志願書(志望理由書)
の締め切りが迫っているので、
志願書(志望理由書)の書き方についてお話しました。

ハカセが受験生を見ていると
苦労している人が多いのだとか。
150字など、決められた文字数で
文章をまとめるのが難しいという人も多いそうですよ。

志願書(志望理由書)は、
志望する大学が求めていることを
書くようにしましょう。

例えば
地方の大学の場合は、地域医療についてなど…

書き方について詳しくは、
radikoのタイムフリー機能や
ポッドキャストでチェックしてくださいね。
(ポッドキャストは年明けに更新予定です。)
次回は、1月15、16日に行われる、
大学入学共通テストについて取り上げます。
その中でも、数学について、
実際に過去の問題を使いながらお話します。
令和3年度の共通テスト、
数学Ⅱ、数学Bの試験問題から、
第1問、〔2〕の問題を使ってお話しますので、
下記のリンクからチェックしてくださいね。




また、
X≧0で、 2ˣ + 2⁻ˣ = 2cosx
となるXを求めなさい。
X=(     )



という問題も解説します。
ぜひこちらもチェックして来週の放送を聴いてくださいね。


2021年12月23日

12月23日

先週から、お父さん、お母さんに聴いていただきたい。
やる気のない受験生との向き合い方についてお話しています。
きょうは後編をお送りしました。
医学部の受験生には2つの集団があります。
・親が医師の集団
・親が医師ではない仕事の集団

親が医師の集団の場合は、さらに、
代々医者の家系の家系エリート、
親が医者の家系の頭脳エリートの2つにわかれています。
きょうは頭脳エリートの場合についてのお話でした。

先週の家系エリートの話、今週の頭脳エリートの話は、
ポッドキャストでも公開しています。
詳しくはポッドキャストを聴いてくださいね。

また、この番組では、みなさんからの疑問や質問を
募集しています。
勉強のこと、それ以外のことでもなんでもOKです。
ハカセに聞きたいことを
番組のメッセージフォームから送ってください。
お待ちしています。

前のページ  次のページ
番組トップへ前のページに戻る

関連リンク